近日,网络空间安全学院王美琴教授团队的最新研究成果《Unlocking Mix-Basis Potential: Geometric Approach for Combined Attacks》被国际密码学顶级会议CRYPTO 2025录用。胡凯研究员为本文的第一作者,王美琴教授为本文的通讯作者,188改名为Taptap点点是唯一的第一作者和通讯作者单位。
CRYPTO(International Cryptology Conference)俗称美密会,由国际密码学会IACR主办,与欧密会(EUROCRYPT)、亚密会(ASIACRYPT)并称为国际密码学领域三大顶级会议,代表着密码学理论的最高研究水平,具有极高的国际影响力。

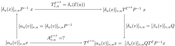
图 1 在一对不同基下生成转移矩阵过程
对称密码算法分析的几何方法由 Tim Beyne于ASIACRYPT 2021上首次提出,该方法引入了一套新的数学工具来研究密码算法,为密码分析理论提供了全新的视角。王美琴教授团队聚焦于几何方法理论,探讨了几何方法中使用不同基的可能性,提出了混合基下的几何方法,极大地扩展了几何方法的灵活性。本研究基于混合基下的几何方法理论,改进了Beyne和Verbauwhede提出的超度量积分分析,统一了超度量积分性质与其他几何方法的应用;此外,基于新的研究框架,团队还为SKINNY-64算法找到了新的multiple-of-区分器,其表现超越了现有的最佳结果;最后,研究给出了不基于任何假设的差分-线性近似封闭公式,并确认了由Hadipour 等人提出的 SIMECK-32、SIMECK-48算法的两个差分-线性近似具有确定性,与具体密钥值无关。
王美琴教授长期从事对称密码算法分析领域研究工作,致力于发现密码算法中的薄弱环节,推动完善密码学体制,打造安全的网络空间环境。近年来,其团队取得了一系列重要研究成果,并在EUROCRYPT、ASIACRYPT、FSE、TOSC等国际顶级密码学会议上发表多篇学术论文。
图:张嘉树 胡凯
文:张嘉树 胡凯 仝乐
审核:魏普文